Chemical Half Equations . These essential components of redox reactions are crucial in. welcome to the fascinating world of half equations! When magnesium reduces hot copper (ii) oxide to copper, the ionic equation for the reaction is: half equations are used to show what happens to the electrons in reactions where atoms, molecules or ions are gaining or. Symbols, formulae and equations help chemists to explain chemical reactions in detail.
from www.youtube.com
These essential components of redox reactions are crucial in. half equations are used to show what happens to the electrons in reactions where atoms, molecules or ions are gaining or. When magnesium reduces hot copper (ii) oxide to copper, the ionic equation for the reaction is: Symbols, formulae and equations help chemists to explain chemical reactions in detail. welcome to the fascinating world of half equations!
AP Chemistry 2 Integrated Rate Law & half life YouTube
Chemical Half Equations welcome to the fascinating world of half equations! welcome to the fascinating world of half equations! half equations are used to show what happens to the electrons in reactions where atoms, molecules or ions are gaining or. When magnesium reduces hot copper (ii) oxide to copper, the ionic equation for the reaction is: These essential components of redox reactions are crucial in. Symbols, formulae and equations help chemists to explain chemical reactions in detail.
From lavelle.chem.ucla.edu
halflife CHEMISTRY COMMUNITY Chemical Half Equations These essential components of redox reactions are crucial in. welcome to the fascinating world of half equations! half equations are used to show what happens to the electrons in reactions where atoms, molecules or ions are gaining or. When magnesium reduces hot copper (ii) oxide to copper, the ionic equation for the reaction is: Symbols, formulae and equations. Chemical Half Equations.
From www.wikihow.com
How to Balance Chemical Equations 10 Steps (with Pictures) Chemical Half Equations When magnesium reduces hot copper (ii) oxide to copper, the ionic equation for the reaction is: These essential components of redox reactions are crucial in. Symbols, formulae and equations help chemists to explain chemical reactions in detail. welcome to the fascinating world of half equations! half equations are used to show what happens to the electrons in reactions. Chemical Half Equations.
From answerlistjurgen.z19.web.core.windows.net
Identifying And Balancing Chemical Equations Worksheets Chemical Half Equations These essential components of redox reactions are crucial in. Symbols, formulae and equations help chemists to explain chemical reactions in detail. welcome to the fascinating world of half equations! half equations are used to show what happens to the electrons in reactions where atoms, molecules or ions are gaining or. When magnesium reduces hot copper (ii) oxide to. Chemical Half Equations.
From www.tessshebaylo.com
Electrolysis Of Salt Water Half Equations Tessshebaylo Chemical Half Equations half equations are used to show what happens to the electrons in reactions where atoms, molecules or ions are gaining or. welcome to the fascinating world of half equations! Symbols, formulae and equations help chemists to explain chemical reactions in detail. These essential components of redox reactions are crucial in. When magnesium reduces hot copper (ii) oxide to. Chemical Half Equations.
From www.tessshebaylo.com
Half Equations Questions And Answers Gcse Tessshebaylo Chemical Half Equations When magnesium reduces hot copper (ii) oxide to copper, the ionic equation for the reaction is: These essential components of redox reactions are crucial in. welcome to the fascinating world of half equations! Symbols, formulae and equations help chemists to explain chemical reactions in detail. half equations are used to show what happens to the electrons in reactions. Chemical Half Equations.
From www.chegg.com
Solved One of the halfequations for a redox reaction Chemical Half Equations When magnesium reduces hot copper (ii) oxide to copper, the ionic equation for the reaction is: welcome to the fascinating world of half equations! half equations are used to show what happens to the electrons in reactions where atoms, molecules or ions are gaining or. These essential components of redox reactions are crucial in. Symbols, formulae and equations. Chemical Half Equations.
From www.tes.com
AQA Chemistry/ Trilogy 4.4 Chemical Changes Half equations Chemical Half Equations These essential components of redox reactions are crucial in. When magnesium reduces hot copper (ii) oxide to copper, the ionic equation for the reaction is: welcome to the fascinating world of half equations! half equations are used to show what happens to the electrons in reactions where atoms, molecules or ions are gaining or. Symbols, formulae and equations. Chemical Half Equations.
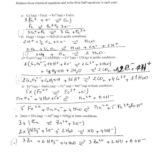
From www.chegg.com
Solved Balance these chemical equations and write their half Chemical Half Equations welcome to the fascinating world of half equations! These essential components of redox reactions are crucial in. When magnesium reduces hot copper (ii) oxide to copper, the ionic equation for the reaction is: half equations are used to show what happens to the electrons in reactions where atoms, molecules or ions are gaining or. Symbols, formulae and equations. Chemical Half Equations.
From www.youtube.com
Half Life Equation Derivation YouTube Chemical Half Equations When magnesium reduces hot copper (ii) oxide to copper, the ionic equation for the reaction is: half equations are used to show what happens to the electrons in reactions where atoms, molecules or ions are gaining or. welcome to the fascinating world of half equations! These essential components of redox reactions are crucial in. Symbols, formulae and equations. Chemical Half Equations.
From www.slideserve.com
PPT Chapter 13 Chemical PowerPoint Presentation, free Chemical Half Equations half equations are used to show what happens to the electrons in reactions where atoms, molecules or ions are gaining or. Symbols, formulae and equations help chemists to explain chemical reactions in detail. welcome to the fascinating world of half equations! When magnesium reduces hot copper (ii) oxide to copper, the ionic equation for the reaction is: These. Chemical Half Equations.
From www.tessshebaylo.com
Balancing Half Equations Worksheet Gcse Tessshebaylo Chemical Half Equations half equations are used to show what happens to the electrons in reactions where atoms, molecules or ions are gaining or. When magnesium reduces hot copper (ii) oxide to copper, the ionic equation for the reaction is: These essential components of redox reactions are crucial in. welcome to the fascinating world of half equations! Symbols, formulae and equations. Chemical Half Equations.
From www.youtube.com
GCSE Chemistry Half equations YouTube Chemical Half Equations These essential components of redox reactions are crucial in. Symbols, formulae and equations help chemists to explain chemical reactions in detail. When magnesium reduces hot copper (ii) oxide to copper, the ionic equation for the reaction is: half equations are used to show what happens to the electrons in reactions where atoms, molecules or ions are gaining or. Web. Chemical Half Equations.
From www.showme.com
ShowMe halfequations Chemical Half Equations When magnesium reduces hot copper (ii) oxide to copper, the ionic equation for the reaction is: half equations are used to show what happens to the electrons in reactions where atoms, molecules or ions are gaining or. These essential components of redox reactions are crucial in. Symbols, formulae and equations help chemists to explain chemical reactions in detail. Web. Chemical Half Equations.
From www.slideserve.com
PPT Redox Reactions PowerPoint Presentation ID3872488 Chemical Half Equations Symbols, formulae and equations help chemists to explain chemical reactions in detail. When magnesium reduces hot copper (ii) oxide to copper, the ionic equation for the reaction is: These essential components of redox reactions are crucial in. half equations are used to show what happens to the electrons in reactions where atoms, molecules or ions are gaining or. Web. Chemical Half Equations.
From www.equationsworksheets.net
Balancing Chemical Equations Gizmo Worksheet Answer Key Equations Chemical Half Equations Symbols, formulae and equations help chemists to explain chemical reactions in detail. These essential components of redox reactions are crucial in. half equations are used to show what happens to the electrons in reactions where atoms, molecules or ions are gaining or. welcome to the fascinating world of half equations! When magnesium reduces hot copper (ii) oxide to. Chemical Half Equations.
From lessonschoolreassess.z5.web.core.windows.net
Balancing Chemical Equations Lab Answers Chemical Half Equations Symbols, formulae and equations help chemists to explain chemical reactions in detail. These essential components of redox reactions are crucial in. When magnesium reduces hot copper (ii) oxide to copper, the ionic equation for the reaction is: half equations are used to show what happens to the electrons in reactions where atoms, molecules or ions are gaining or. Web. Chemical Half Equations.
From www.nagwa.com
Question Video Identifying Which Equation Shows the Reaction at a Chemical Half Equations welcome to the fascinating world of half equations! These essential components of redox reactions are crucial in. half equations are used to show what happens to the electrons in reactions where atoms, molecules or ions are gaining or. When magnesium reduces hot copper (ii) oxide to copper, the ionic equation for the reaction is: Symbols, formulae and equations. Chemical Half Equations.
From www.tessshebaylo.com
How To Balance A Chemical Equation By Oxidation Number Method In Tamil Chemical Half Equations half equations are used to show what happens to the electrons in reactions where atoms, molecules or ions are gaining or. These essential components of redox reactions are crucial in. When magnesium reduces hot copper (ii) oxide to copper, the ionic equation for the reaction is: Symbols, formulae and equations help chemists to explain chemical reactions in detail. Web. Chemical Half Equations.